开云体育

2021年上半年机电学院拟确定积极分子名单公示

发布时间:2021-03-28 浏览量:

各位同学:

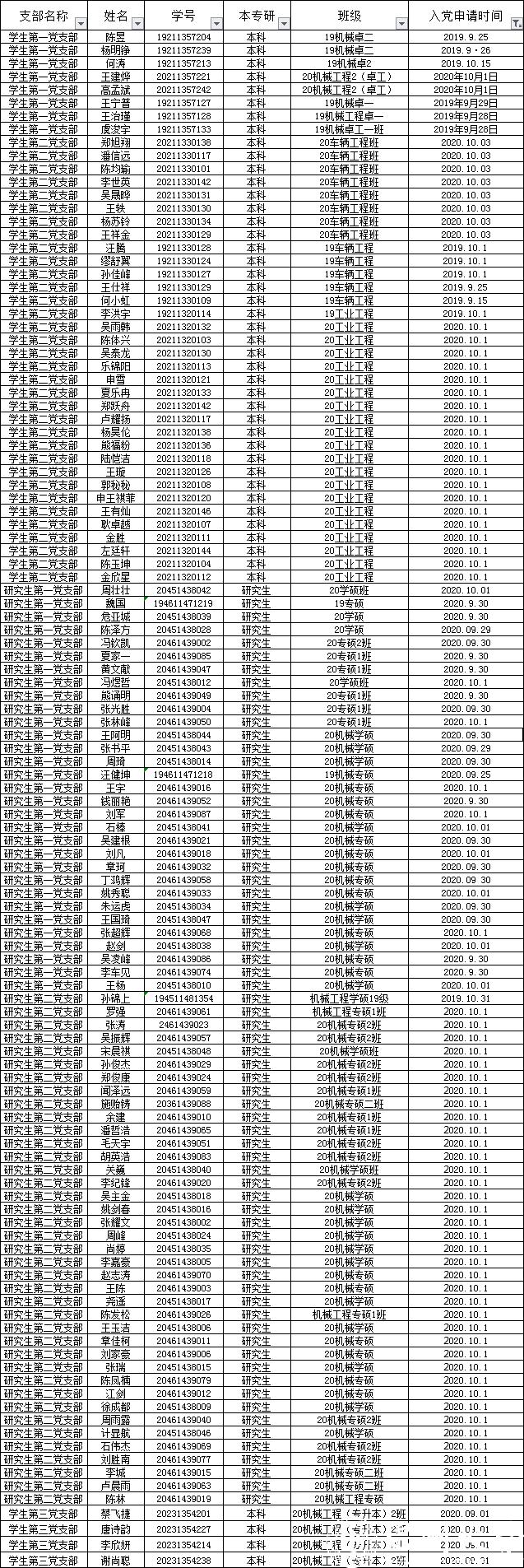
经班级推荐、支部讨论,拟确定陈昱等116名同学作为积极分子,现将信息公示如下,如有异议,请反馈至机电学院学工办,联系电话:0577-86689269,联系人:杨老师。

学院公众号
Copyright © 2020 开云体育-开云体育app下载 All Rights Reserved. 浙ICP备07006821号-1